Transesterification Process For Biodiesel Production Pdf : Modeling And Control Of A Biodiesel Transesterification Reactor / Table 4.6) can be used for the transesterification reaction of lipids with an alcohol (methanol or ethanol) to form fatty acid (m)ethyl esters.

Transesterification Process For Biodiesel Production Pdf : Modeling And Control Of A Biodiesel Transesterification Reactor / Table 4.6) can be used for the transesterification reaction of lipids with an alcohol (methanol or ethanol) to form fatty acid (m)ethyl esters.. Preferably, sulphonic and sulphuric acids are mostly used. (2009) studied the effect of ultrasonication during the process of biodiesel production from soybean oil. Chemical catalysts such as sodium hydroxide, potassium hydroxide, sulfuric acid are used in the conventional methods of biodiesel production. Effect on transesterification process and reduced the process time and saved energy in the biodiesel production (stavarache et al., 2005). In this study, vegetable oil, methanol and a homogenous alkaline catalyst 15 are studied.

So, how do we make biodiesel? Transesterification process plays an important role in the biodiesel production as it greatly influence the yield and cost of production. The purity of methyl ester content in biodiesel is measured by gas chromatography. (2009) studied the effect of ultrasonication during the process of biodiesel production from soybean oil. Preferably, sulphonic and sulphuric acids are mostly used.

1
1 from
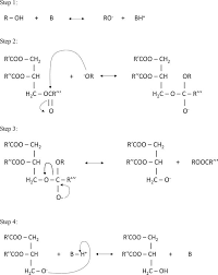
• reduces the amount of catalyst for transesterification • causes problems in downstream/cleaning processing. Biodiesel is an alternative fuel similar to conventional or fossil/petroleum diesel. Cornelia tirla department of chemistry & physics, department of biology They used methanol and koh as a catalyst. Purification of the products therefore becomes 528 necessary after the reaction. In order to design an economically and environmentally sustainable biodiesel production process, a proper understanding of the factors affecting the process and their relative importance is necessary. 9.2 the reaction of biodiesel: The reaction is called transesterification, and the process takes place in four steps.

Lipids extraction from microalgal biomass is an important step in the overall process of biodiesel production.

The transesterification process in biodiesel production is catalyzed by bronsted acids like hcl, bf 3, h 3po 4, h 2so 4 and sulphonic acids 49,50. The method being described here is for making fames biodiesel. The first step is to mix the alcohol for reaction with the catalyst, typically a strong base such as naoh or koh. For example, ethanol is a very common biofuel made from sugar cane, potatoe, maize and manioc feedstocks. Transesterification process plays an important role in the biodiesel production as it greatly influence the yield and cost of production. Preferably, sulphonic and sulphuric acids are mostly used. The first step is to mix the alcohol for reaction with the catalyst, typically a strong base such as naoh or koh. Lipids extraction from microalgal biomass is an important step in the overall process of biodiesel production. (2009) studied the effect of ultrasonication during the process of biodiesel production from soybean oil. A process for the production of fatty acid esters from a triglyceride feedstock is provided. 9.2 the reaction of biodiesel: Biodiesel is one of several biofuels that can be used to meet society's energy needs. In this study, vegetable oil, methanol and a homogenous alkaline catalyst 15 are studied.

3 moreover, alkyl ester of jco meets the standard of biodiesel in many countries. Transesterification process plays an important role in the biodiesel production as it greatly influence the yield and cost of production. Cornelia tirla department of chemistry & physics, department of biology Big potential for producing biodiesel because the developments in indonesia's crude palm oil (cpo) production is increasing every year. For example, ethanol is a very common biofuel made from sugar cane, potatoe, maize and manioc feedstocks.

Top Pdf Effects Of Process Variables On Transesterification Reaction Of Jatropha Curcas Seed Oil For The Production Of Biodiesel 1library
Top Pdf Effects Of Process Variables On Transesterification Reaction Of Jatropha Curcas Seed Oil For The Production Of Biodiesel 1library from data01.123doks.com
Table 4.6) can be used for the transesterification reaction of lipids with an alcohol (methanol or ethanol) to form fatty acid (m)ethyl esters. Process analysis and optimization of biodiesel production from vegetable oils a thesis by lay l. The key feature of the new process developed in this work is its ability to operate continuously with a high reaction rate, potentially requiring less post. In the view of this above discussion, some transesterification parameters such as catalyst, reaction time and temperature are the easiest factors which can be properly controlled during the industrial process for biodiesel production. The process allows the complete conversion of triglycerides to the corresponding alkyl esters. Cornelia tirla department of chemistry & physics, department of biology Transesterification process plays an important role in the biodiesel production as it greatly influence the yield and cost of production. Biodiesel from vegetable oil would disturb the food market.

The fuel can be made easily from either virgin or waste vegetable oil.

Biodiesel is one of several biofuels that can be used to meet society's energy needs. Preferably, sulphonic and sulphuric acids are mostly used. The transesterification process in biodiesel production is catalyzed by bronsted acids like hcl, bf 3 , h 3 po 4 , h 2 so 4 and sulphonic acids 49,50. These free fatty acids are known to react with the alkaline catalyst and form 526 saponified products during transesterification reactions for biodiesel fuel production in the 527 conventional commercial process. Transesterification process plays an important role in the biodiesel production as it greatly influence the yield and cost of production. The fuel can be made easily from either virgin or waste vegetable oil. Transesterification process using frying oils as raw material. Cornelia tirla department of chemistry & physics, department of biology Basics of biodiesel production biodiesel is an alternative fuel for diesel engines that is gaining attention in the united states after reaching a considerable level of success in europe. Pure vegetable oil is a process known as transesterification, and this process will be discussed later in this publication. A typical mechanism of acid catalyzed transesterification of vegetable oils. For biodiesel production the relevant lipids from microalgae oil are the nonpolar lipids triacylglycerols (tags) and free fatty acids (ffas) while acid, alkali, or enzymatic catalysis (fig. This review covers the process by which biodiesel is prepared, the types of catalysts that may be used for the production of biodiesel, the influence of free fatty acids on biodiesel production, the use of different monohydric alcohols in the preparation of biodiesel, the influence of biodiesel composition on fuel properties, the

Improvement of biodiesel production in batch transesterification process 9.2 the reaction of biodiesel: Cornelia tirla department of chemistry & physics, department of biology The presence of free fatty acids is the controlling parameter of the method (process) used for biodiesel production. It is an alternate renewable source for petrol and diesel, which helps in reducing greenhouse gases emissions.

Biodiesel And Biolubricant Production From Different Vegetable Oils Through Transesterification Encinar 2020 Engineering Reports Wiley Online Library
Biodiesel And Biolubricant Production From Different Vegetable Oils Through Transesterification Encinar 2020 Engineering Reports Wiley Online Library from onlinelibrary.wiley.com
9.2 the reaction of biodiesel: Basics of biodiesel production biodiesel is an alternative fuel for diesel engines that is gaining attention in the united states after reaching a considerable level of success in europe. Table 4.6) can be used for the transesterification reaction of lipids with an alcohol (methanol or ethanol) to form fatty acid (m)ethyl esters. The process allows the complete conversion of triglycerides to the corresponding alkyl esters. So, how do we make biodiesel? It is also to investigate the extent to which the sodium methoxide (naoch3) as the catalyst and the effect of batch transesterification process on various parameters in production of biodiesel. The transesterification process in biodiesel production is catalyzed by bronsted acids like hcl, bf 3, h 3po 4, h 2so 4 and sulphonic acids 49,50. 3 moreover, alkyl ester of jco meets the standard of biodiesel in many countries.

A process for the production of fatty acid esters from a triglyceride feedstock is provided.

(2009) studied the effect of ultrasonication during the process of biodiesel production from soybean oil. The biodiesel and glycerol obtained are cleanly separated in two distinct. • reduces the amount of catalyst for transesterification • causes problems in downstream/cleaning processing. Pure vegetable oil is a process known as transesterification, and this process will be discussed later in this publication. The key feature of the new process developed in this work is its ability to operate continuously with a high reaction rate, potentially requiring less post. This review covers the process by which biodiesel is prepared, the types of catalysts that may be used for the production of biodiesel, the influence of free fatty acids on biodiesel production, the use of different monohydric alcohols in the preparation of biodiesel, the influence of biodiesel composition on fuel properties, the The reaction is called transesterification, and the process takes place in four steps. A comprehensive review of the literature on the subject of biodiesel production was carried out. 9.2 the reaction of biodiesel: Chemical catalysts such as sodium hydroxide, potassium hydroxide, sulfuric acid are used in the conventional methods of biodiesel production. Flow chart to process biodiesel 100 A typical mechanism of acid catalyzed transesterification of vegetable oils. The transesterification process in biodiesel production is catalyzed by bronsted acids like hcl, bf 3, h 3po 4, h 2so 4 and sulphonic acids 49,50.

Related : Transesterification Process For Biodiesel Production Pdf : Modeling And Control Of A Biodiesel Transesterification Reactor / Table 4.6) can be used for the transesterification reaction of lipids with an alcohol (methanol or ethanol) to form fatty acid (m)ethyl esters..